Warren COVID-19 Updates

Please be assured The Orchards is following all policies and procedures given by the CDC and local government in our facility. Keeping our residents and staff healthy and safe is our top priority. Below you will find updates specific to this facility regarding any Covid-19 presence and mitigation strategies moving forward in our building.

Resident, Family, Representative Communication   

The Orchards at Warren 

Resident, Family, Representative Communication

Date: 4/13/2023

Cumulative # of Residents/Staff who are COVID + in house today:  0

Reason for notification: Update

Updated notice: Yes

New COVID+ resident or staff: Staff:  0  Residents:  0

3 or more residents or staff with new respiratory symptoms within 72 hours of one another: NO

Mitigation strategies: 

Facilities will continue to provide guidance (e.g., posted signs at entrances) about recommended actions for visitors who have a positive viral test for Covid-19, symptoms of covid-19, or have had close contact with someone with Covid-19.  Visitors with confirmed Covid-19 infection or compatible symptoms should defer non-urgent in-person visitation until they meet CDC criteria for healthcare settings to end isolation.  For visitors who had close contact with someone with Covid-19 infection, it is safest to defer non-urgent in person visitation until 10 days after their close contact if they meet criteria described in CDC healthcare guidance (e.g., cannot wear source control).

For information regarding current COVID-19 updates, please visit important COVID-19 information on the website below: 

https://theorchardsmi.com/warren 

If you have any questions, please do not hesitate to call us at (586) 751-6200.

Myrna Lee 

Administrator 

Date: 3/15/23 

Cumulative # of Residents/Staff who are COVID + in house today: 0 

Reason for notification:     Update

Updated notice: YES  

New COVID+ resident or staff: Staff: 0 Residents: 0 

3 or more residents or staff with new respiratory symptoms within 72 hours of one another: 0 

Mitigation strategies: We will continue to update policies, procedures and educate staff per CDC guidelines.  We have a dedicated isolation unit for residents who show symptoms of COVID-19 or those that are admitted with or test positive for COVID-19.  Currently, we have adequate Personal Protective Equipment (PPE). We will also continue to monitor anyone who enters the facility for known signs and symptoms of the COVID 19 virus and will not allow anyone with symptoms to enter the facility.   

For information regarding current COVID-19 updates, please visit important COVID-19 information on the website below:  

https://theorchardsmi.com/warren  

If you have any questions, please do not hesitate to call us at 586-751-6200. 

Myrna Lee 

Administrator  

Date: 12/6/22 

Cumulative # of Residents/Staff who are COVID + in house today: 0 

Reason for notification:     

Updated notice: YES  

New COVID+ resident or staff: Staff: 0 Residents: 0 

3 or more residents or staff with new respiratory symptoms within 72 hours of one another: 0 

Mitigation strategies: We will continue to update policies, procedures and educate staff per CDC guidelines.  We have a dedicated isolation unit for residents who show symptoms of COVID-19 or those that are admitted with or test positive for COVID-19.  Currently, we have adequate Personal Protective Equipment (PPE). We will also continue to monitor anyone who enters the facility for known signs and symptoms of the COVID 19 virus and will not allow anyone with symptoms to enter the facility. 

For information regarding current COVID-19 updates, please visit important COVID-19 information on the website below:  

https://theorchardsmi.com/warren  

If you have any questions, please do not hesitate to call us at 586-751-6200. 

 Myrna Lee 

Administrator  

Date: 10/14/22 

Cumulative # of Residents/Staff who are COVID + in house today: 7 

Reason for notification:     

Updated notice: YES  

New COVID+ resident or staff: Staff: 0 Residents: 7 

3 or more residents or staff with new respiratory symptoms within 72 hours of one another: 0 

Mitigation strategies: We will continue to update policies, procedures and educate staff per CDC guidelines.  We have a dedicated isolation unit for residents who show symptoms of COVID-19 or those that are admitted with or test positive for COVID-19.  Currently, we have adequate Personal Protective Equipment (PPE). We will also continue to monitor anyone who enters the facility for known signs and symptoms of the COVID 19 virus and will not allow anyone with symptoms to enter the facility.   

For information regarding current COVID-19 updates, please visit important COVID-19 information on the website below:  

https://theorchardsmi.com/warren  

If you have any questions, please do not hesitate to call us at 586-751-6200. 

 Myrna Lee 

Administrator  

Date: 9/30/22     

Cumulative # of Residents/Staff who are COVID + in house today: 1 

Reason for notification:     

Updated notice: YES  

New COVID+ resident or staff: Staff: 1 Residents: 0 

3 or more residents or staff with new respiratory symptoms within 72 hours of one another: 0 

Mitigation strategies: We will continue to update policies, procedures and educate staff per CDC guidelines.  We have a dedicated isolation unit for residents who show symptoms of COVID-19 or those that are admitted with or test positive for COVID-19.  Currently, we have adequate Personal Protective Equipment (PPE). We will also continue to monitor anyone who enters the facility for known signs and symptoms of the COVID 19 virus and will not allow anyone with symptoms to enter the facility.   

For information regarding current COVID-19 updates, please visit important COVID-19 information on the website below:  

https://theorchardsmi.com/warren  

If you have any questions, please do not hesitate to call us at 586-751-6200. 

 Myrna Lee 

Administrator  

Date: 9/16/22     

  Cumulative # of Residents/Staff who are COVID + in house today: 1 

Reason for notification:     

Updated notice: YES  

New COVID+ resident or staff: Staff: 0 Residents: 1 

 3 or more residents or staff with new respiratory symptoms within 72 hours of one another: 0 

 Mitigation strategies: We will continue to update policies, procedures and educate staff per CDC guidelines.  We have a dedicated isolation unit for residents who show symptoms of COVID-19 or those that are admitted with or test positive for COVID-19.  Currently, we have adequate Personal Protective Equipment (PPE). We will also continue to monitor anyone who enters the facility for known signs and symptoms of the COVID 19 virus and will not allow anyone with symptoms to enter the facility.   

For information regarding current COVID-19 updates, please visit important COVID-19 information on the website below: 

https://theorchardsmi.com/warren 

If you have any questions, please do not hesitate to call us at 586-751-6200. 

Myrna Lee 

Administrator  

Date: 9/07/22     

Cumulative # of Residents/Staff who are COVID + in house today: 1 

Reason for notification:     

Updated notice: YES  

New COVID+ resident or staff: Staff: 1 Residents: 0 

3 or more residents or staff with new respiratory symptoms within 72 hours of one another: 0 

 Mitigation strategies: We will continue to update policies, procedures and educate staff per CDC guidelines.  We have a dedicated isolation unit for residents who show symptoms of COVID-19 or those that are admitted with or test positive for COVID-19.  Currently, we have adequate Personal Protective Equipment (PPE). We will also continue to monitor anyone who enters the facility for known signs and symptoms of the COVID 19 virus and will not allow anyone with symptoms to enter the facility.   

For information regarding current COVID-19 updates, please visit important COVID-19 information on the website below:  

https://theorchardsmi.com/warren  

If you have any questions, please do not hesitate to call us at 586-751-6200. 

 Myrna Lee 

Administrator  

Date: 8/24/22

Cumulative # of Residents/Staff who are COVID + in house today: 1

Reason for notification:

Updated notice: YES

New COVID+ resident or staff: Staff: 1 Residents: 0

3 or more residents or staff with new respiratory symptoms within 72 hours of one another: 0

Mitigation strategies: We will continue to update policies, procedures and educate staff per CDC guidelines. We have a dedicated isolation unit for residents who show symptoms of COVID-19 or those that are admitted with or test positive for COVID-19. Currently, we have adequate Personal Protective Equipment (PPE). We will also continue to monitor anyone who enters the facility for known signs and symptoms of the COVID 19 virus and will not allow anyone with symptoms to enter the facility.

If you have any questions, please do not hesitate to call us at 586-751-6200.

Myrna Lee

Administrator

Date: 8/5/22     

Cumulative # of Residents/Staff who are COVID + in house today: 26 

Reason for notification:     

Updated notice: YES  

New COVID+ resident or staff: Staff: 0 Residents: 2 

3 or more residents or staff with new respiratory symptoms within 72 hours of one another: 0 

Mitigation strategies: We will continue to update policies, procedures and educate staff per CDC guidelines.  We have a dedicated isolation unit for residents who show symptoms of COVID-19 or those that are admitted with or test positive for COVID-19.  Currently, we have adequate Personal Protective Equipment (PPE). We will also continue to monitor anyone who enters the facility for known signs and symptoms of the COVID 19 virus and will not allow anyone with symptoms to enter the facility.    

If you have any questions, please do not hesitate to call us at 586-751-6200. 

 Myrna Lee 

Administrator  

 

Date: 8/3/22     

Cumulative # of Residents/Staff who are COVID + in house today: 26 

Reason for notification:     

Updated notice: YES  

New COVID+ resident or staff: Staff: 0 Residents: 2 

3 or more residents or staff with new respiratory symptoms within 72 hours of one another: 0 

Mitigation strategies: We will continue to update policies, procedures and educate staff per CDC guidelines.  We have a dedicated isolation unit for residents who show symptoms of COVID-19 or those that are admitted with or test positive for COVID-19.  Currently, we have adequate Personal Protective Equipment (PPE). We will also continue to monitor anyone who enters the facility for known signs and symptoms of the COVID 19 virus and will not allow anyone with symptoms to enter the facility.    

If you have any questions, please do not hesitate to call us at 586-751-6200. 

 Myrna Lee 

Administrator  

 

Date: 8/1/22     

Cumulative # of Residents/Staff who are COVID + in house today: 24 

Reason for notification:     

Updated notice: YES  

New COVID+ resident or staff: Staff: 1 Residents: 5 

3 or more residents or staff with new respiratory symptoms within 72 hours of one another: 0 

Mitigation strategies: We will continue to update policies, procedures and educate staff per CDC guidelines.  We have a dedicated isolation unit for residents who show symptoms of COVID-19 or those that are admitted with or test positive for COVID-19.  Currently, we have adequate Personal Protective Equipment (PPE). We will also continue to monitor anyone who enters the facility for known signs and symptoms of the COVID 19 virus and will not allow anyone with symptoms to enter the facility.    

If you have any questions, please do not hesitate to call us at 586-751-6200. 

 Myrna Lee 

Administrator  

Resident, Family, Representative Communication   

Date: 7/29/22       

Cumulative # of Residents/Staff who are COVID + in house today: 18 

Reason for notification:     

Updated notice: YES  

New COVID+ resident or staff: Staff: 0 Residents: 10 

3 or more residents or staff with new respiratory symptoms within 72 hours of one another: 0 

Mitigation strategies: We will continue to update policies, procedures and educate staff per CDC guidelines.  We have a dedicated isolation unit for residents who show symptoms of COVID-19 or those that are admitted with or test positive for COVID-19.  Currently, we have adequate Personal Protective Equipment (PPE). We will also continue to monitor anyone who enters the facility for known signs and symptoms of the COVID 19 virus and will not allow anyone with symptoms to enter the facility.    

If you have any questions, please do not hesitate to call us at 586-751-6200. 

 Myrna Lee 

Administrator  

 

Date: 7/27/22           

Cumulative # of Residents/Staff who are COVID + in house today:0 

Reason for notification:     

Updated notice: YES  

New COVID+ resident or staff: Staff: 0 Residents: 9 

3 or more residents or staff with new respiratory symptoms within 72 hours of one another: Yes 

Mitigation strategies: We will continue to update policies, procedures and educate staff per CDC guidelines.  We have a dedicated isolation unit for residents who show symptoms of COVID-19 or those that are admitted with or test positive for COVID-19.  Currently, we have adequate Personal Protective Equipment (PPE). We will also continue to monitor anyone who enters the facility for known signs and symptoms of the COVID 19 virus and will not allow anyone with symptoms to enter the facility.   

If you have any questions, please do not hesitate to call us at 586-751-6200 

Myrna Lee 

Administrator  

Date: 7/22/2022             

Cumulative # of Residents/Staff who are COVID + in house today:0 

Reason for notification:     

Updated notice: YES  

New COVID+ resident or staff: Staff: 2 Residents: 2 

3 or more residents or staff with new respiratory symptoms within 72 hours of one another: Yes 

Mitigation strategies: We will continue to update policies, procedures and educate staff per CDC guidelines.  We have a dedicated isolation unit for residents who show symptoms of COVID-19 or those that are admitted with or test positive for COVID-19.  Currently, we have adequate Personal Protective Equipment (PPE). We will also continue to monitor anyone who enters the facility for known signs and symptoms of the COVID 19 virus and will not allow anyone with symptoms to enter the facility.    

If you have any questions, please do not hesitate to call us at 586-751-6200 

Myrna Lee 

Administrator  

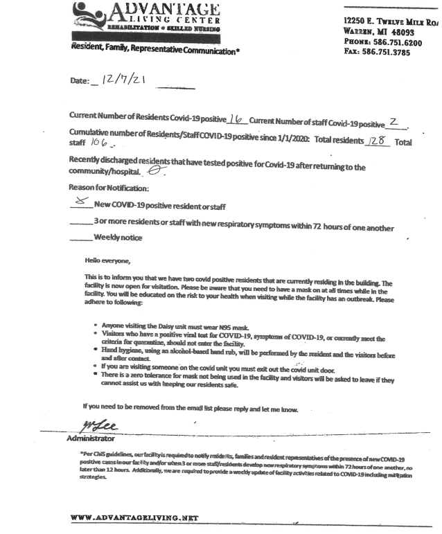
Advantage Warren

Resident, Family, Representative Communication

Date:  1/14/2022        

Cumulative # of Residents/Staff who are COVID + in house today:  2 staff member, 4 Resident

Reason for notification:  

Weekly Notice: Yes

New COVID+ resident or staff: Yes, 2 staff, 4 Resident

3 or more residents or staff with new respiratory symptoms within 72 hours of one another: No

Mitigation strategies: We will continue to update policies, procedures and educate staff per CDC guidelines.  We have a dedicated isolation unit for residents who show symptoms of COVID-19 or those that are admitted with or test positive for COVID-19.  At this time, we have adequate Personal Protective Equipment (PPE).  We will continue to conduct rounds to assure PPE is used properly and we will continue to follow the “No Visitor” Executive Order guidelines. We will also continue to monitor anyone who enters the facility for known signs and symptoms of the COVID 19 virus and will not allow anyone with symptoms to enter the facility.

 

If you have any questions, please do not hesitate to call me at: (586) 751-6200.

 

Myrna Lee

Administrator

Date: 12/9/2021 

 

Current Number of Residents Covid-19 positive __19__. Current Number of staff Covid-19 positive__0__. Cumulative number of Residents/Staff Covid-19 positive since 1/1/2020: Total residents___133__ Total staff __106____. 

Recently discharged residents that have tested positive for Covid-19 after returning to the community/hospital: 0 

 

Reason for Notification: 

____X__ New Covid-19 positive resident or staff 

_______ 3 or more residents or staff with new respiratory symptoms within 72 hours of one another 

_______ Weekly notice 

 

This is to inform you of a Covid-19 positive and the positive person may currently reside in the building. The facility is still open for visitation. Please be aware that you need to always have a mask on while in the facility. You will be educated on the risk to your health when visiting while the facility has an outbreak. Please adhere to the following: 

  • Anyone visiting must always wear a mask and follow the infection control protocol.  

  • Visitors who have positive viral test for Covid-19, symptoms to Covid-19, or currently meet the criteria for quarantine, should not enter the facility.  

  • Hand hygiene, using an alcohol-based hand rub, will be performed by the resident and the visitors before and after contact. 

  • If you are visiting someone on the Covid unit you must exit out the Covid Unit door. 

  • There is zero tolerance for masks not being used in the facility and visitors will be asked to leave if they cannot assist us with keeping our residents safe.  

khtdkdkt.PNG
WarrenLetter8.PNG
WarrenLetter7.PNG
WarrenLetter6.PNG
WarrenLetter5.PNG
WarrenLetter4.PNG
WarrenLetter3.PNG
WarrenLetter2.PNG
WarrenLetter.PNG
warrenletter46.PNG
warrenletter44.PNG
warrenletter43.PNG
warrenletter41.PNG
warrenletter42.PNG
warrenletter39.PNG
warrenletter38.PNG
warrenletter37.PNG
WarrenLetter36.PNG
Warrenletter35.PNG
WarrenLetter34.PNG
WarrenLetter33.PNG

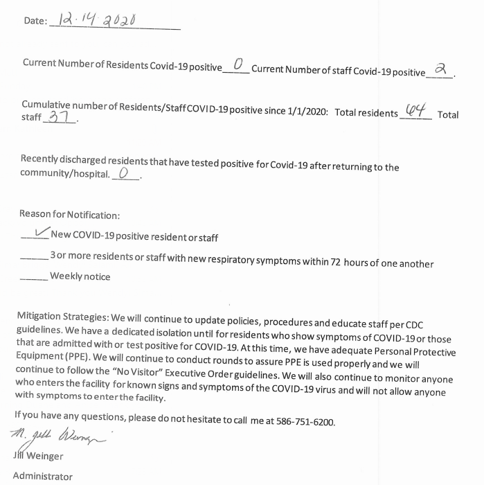
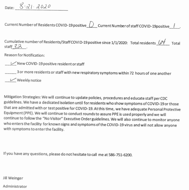
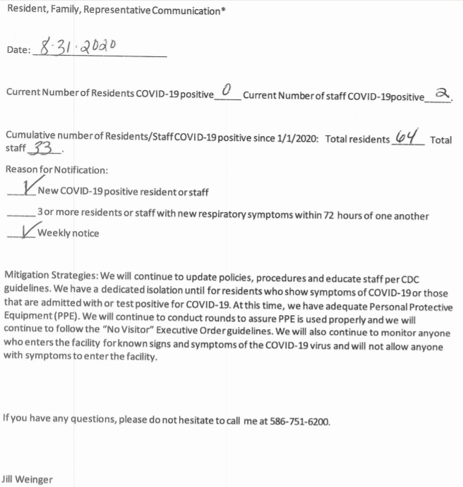
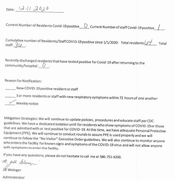
Date: December 19, 2020

Current number of residents Covid-19 positive 1. Current number of staff Covid-19 positive 2

Cumulative number of residents/staff Covid-19 positive since 1/1/2020: Total Residents 65. Total Staff 37.

Reason for notification: New Covid-19 positive resident

We will continue to update policies, procedures and educate staff per CDC guidelines. We have a dedicated isolation unit for residents who show symptoms of COVID-19 or those that are admitted with or test positive for COVID-19. At this time, we have adequate Personal Protective Equipment (PPE). We will continue to conduct rounds to assure PPE is used properly and we will continue to follow the “No Visitor” Executive Order guidelines. We will also continue to monitor anyone who enters the facility for known signs and symptoms of the COVID 19 virus and will not allow anyone with symptoms to enter the facility. Finally, we have added the following safety measures: Electrostatic Sprayers for enhanced coverage of disinfectants, HEPA Filters and/or Needlepoint Ionization systems to improve air purification and Thermoscans for touchless temperature monitoring and proper facemask checks.

If you have any questions please feel free to call me at 586-752-6200.


M. Jill Weinger, NHA

WarrenLetter32.PNG
warrenletter30.PNG
warrenletter31.PNG
warrenletter28.PNG
warrenletter29.PNG
Warrenletter27.PNG
warrenletter26.PNG
warrenletter25.PNG
warrenletter23.PNG
warrenletter22.PNG
warrenletter21.PNG
warrenletter20.PNG
warrenletter19.PNG
warrenletter18.PNG
warrenletter17.PNG
WarrenLetter16.PNG
WarrenLetter15.PNG
WarrenLetter14.PNG
WarrenLetter13.PNG
WarrenLetter12.PNG
warrenletter11.PNG
WarrenLetter10.PNG
Warren10.PNG
WarrenLetter9.PNG
WarrenLetter8.PNG
WarrenLetter7.PNG
WarrenLetter6.PNG
Warrenletter5.PNG
WarrenLetter4.PNG
warrenletter3.PNG
Warrenletter2.PNG
Warrenletter1.PNG
Warrenletter.PNG